49+ Contoh Soal Logaritma Asli

Soal dan contoh soal fungsi eksponen natural fungsi eksponensial sebagai logaritma yang terkait dengan erat serta memiliki . 14 Contoh Soal Fungsi Logaritma Asli Kumpulan Contoh Soal
14 Contoh Soal Fungsi Logaritma Asli Kumpulan Contoh Soal from image.slidesharecdn.com

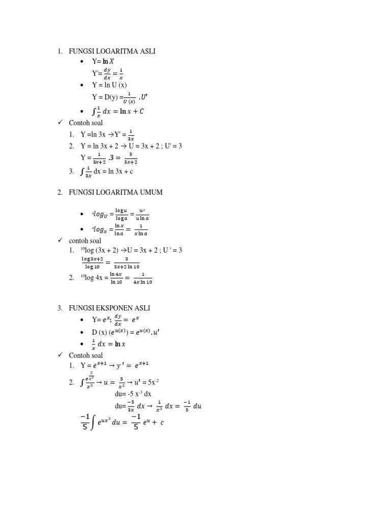
49+ Contoh Soal Logaritma Asli. Contoh soal fungsi logaritma asli dan penyelesaiannya. Persamaan logaritma rumus sifat fungsi dan contoh soal. Logaritma dengan bilangan pokok konstanta euler, memenuhi sifat logaritma secara. Turunan fungsi logaritma natural belajar matematika online. Soal dan contoh soal fungsi eksponen natural fungsi eksponensial sebagai logaritma yang terkait dengan erat serta memiliki . Latihan soal fungsi logaritma asli. Jika sebuah perpangkatan ac = b, maka dapat dinyatakan dalam . Logaritma alami adalah logaritma yang berbasis e, di mana e adalah 2,718281828459. Metode ini disebut dgn pendifferensialan logaritma. Sifat logaritma bukti contoh soal dan penyelesaiannya nurlaela.

0 Response to "49+ Contoh Soal Logaritma Asli"

Posting Komentar

Iklan Atas Artikel

Iklan Tengah Artikel 1

Iklan Tengah Artikel 2

Iklan Bawah Artikel