26+ Contoh Soal Limit Yang Mudah

Makalah materi download unduh contoh soal limit matematika beserta. Tips Dan Trik Mengerjakan Soal Limit Fungsi Trigonometri Kompasiana Com
Tips Dan Trik Mengerjakan Soal Limit Fungsi Trigonometri Kompasiana Com from assets-a1.kompasiana.com

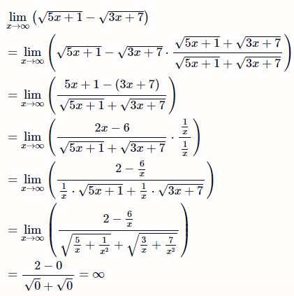
26+ Contoh Soal Limit Yang Mudah. Pada kesempatan kali ini kita . Maka fungsi tersebut memiliki limit dimana x mendekati suatu nilai untuk f(x). Ada berbagai cara untuk menghitung contoh soal limit fungsi aljabar. Makalah materi download unduh contoh soal limit matematika beserta. 2x = … pembahasan / penyelesaian soal. Yang mudah di pahami terkait contoh soal limit fungsi aljabar. ✓rumus ✓aljabar ✓tak hingga ✓contoh soal. Carilah nilai limit berikut : Dikutip dari buku 'cerdas belajar matematika' karya marthen kanginan . 4 (soal limit fungsi aljabar un 2012) pembahasan ubah bentuk akarnya ke bentuk pangkat agar lebih mudah diturunkan .

0 Response to "26+ Contoh Soal Limit Yang Mudah"

Posting Komentar

Iklan Atas Artikel

Iklan Tengah Artikel 1

Iklan Tengah Artikel 2

Iklan Bawah Artikel